|
¤»
¢ºÄ«µå¹ÅÀüÁö[Ä«µå¹Åï³ò®](Cadmium standard cell)
¿þ½ºÅæÀüÁö¿Í °°´Ù.
¢ºÄ«Æ®¸´Áö(Cattridge)
¨ç ·¹ÄÚ¿ÀµåÇ÷¹À̾î(Recorder player)ÀÇ ÇȾ÷(pickup)ÀÇ Àç»ý headºÎ¸¦ ¸»ÇÑ´Ù. artridge ´Â º¸Åë Áý¾î ³Ö°Ô µÇ°Å³ª ¶Ç´Â ³ª»ç·Î °íÁ¤ÇÏ¿© ¾Æ¾Ï(arm)¿¡ ÃëºÎÇÑ´Ù. ¨è ÀÚ±âÅ×ÀÌÇÁ¸¦ ´ã´Â ¿ë±â·Î Å×ÀÌÇÁ´Â °Å±â¿¡ ³ÖÀº´ë·Î ÀÚ±âÅ×ÀÌÇÁÀåÄ¡¿¡ ¿ëÀÌÇÏ°Ô Å»ÂøµÇ¾î ¹Ýµå½Ã º¸Á¸ µÇ°Ô²û µÇ¾î ÀÖ´Â °Í.
¢ºÄ«ÇÁ¸µ(Coupling)
2°³ÀÇ È¸·ÎÀÇ °áÇÕÀ» ÇÏ´Â ºÎºÐ. ¶Ç´Â °è¼ö(Í©â¢)¶ó°íµµ ÇÑ´Ù.
¢ºÄ³¸®¾î(Carrier)
¨ç °Ô¸£¸¶´Ï¿È¿¡ ÀÖ¾î¼ º¸Åë °úÀ×ÀüÀÚ(Φí¥ï³í)¿Í Á¤°ø(ïáÍî)ÀÌ µ¿½ÃÁ¸ÀçÇÏ¸ç ¸¸ÀÏ °úÀ×ÀüÀÚÂÊÀÌ Á¤ °øº¸´Ùµµ ¸¹À» °æ¿ì¸¦ nÇü ¹ÝµµÃ¼(ÚâÓôô÷), ¹Ý´ëÀÇ °æ¿ì¸¦ PÇü ¹ÝµµÃ¼¶ó Çϰí ÀÌ °úÀ×ÀüÀÚ¿Í Á¤°øÀ» ij¸®¾î¶ó°í ÇÑ´Ù. ¨è ¹Ý¼ÛÆÄ ¨é Àü·ù¸¦ ±¸¼ºÇÏ´Â ÀüÇϸ¦ ¿î¹ÝÇÏ´Â ÀÔÀÚ¶õ °ÍÀ¸·Î ÀüÀÚ, Á¤°ø(ïáÍî), Á¤ºÎ(ïáݶ)ÀÇ ionµîÀÌ carrier·Î µÈ´Ù. ¨ê ¹Ý¼ÛÅë½Å(Úæáê÷×ãá)¿¡ ÀÖ¾î¼ ¹Ý¼ÛÆÄ Áï Àü¼Û½ÅÈ£¿¡ ÀÇÇØ º¯Á¶µÇ´Â Á¤ÇöÆÄ(ïáú×÷î)¶õ °Í.
¢ºÄ³ºñÅ×À̼Ç(Cavitation)
¹°ÀÌ Àú¾Ð·Â¿¡¼´Â »ó¿Â¿¡¼µµ »ó´çÇÑ Áõ¹ßÀÌ ÀϾ´Â °ÍÀ¸·Î À̰ÍÀ» cavicttationÀ̶ó ºÎ¸¥´Ù. ¼öÂ÷µî¿¡¼´Â ¾Ð·ÂÀÌ ³ôÀº °÷°ú ³·Àº °÷ÀÌ Àֱ⠶§¹®¿¡ °í¾ÐºÎ¿¡ ÀÌÁõ¹ßÇÑ ¹°ÀÇ ±âÆ÷°¡ ±ÞÈ÷ ¶Ù¾î ³ÑÀ¸¸é °Å±â¼ ²¨Áö¸é¼ »ó´çÈ÷ ¼¾ Ãæ°Ý·ÂÀ» ¹ß»ýÇÏ¿© ¼öÂ÷ÀÇ È¸Àü ¿ì±Ù¿¡ ¼Õ»óÀ» °®¾î¿Â´Ù. °øµ¿Çö»óÀ̶ó°íµµ ÇÑ´Ù.
¢ºÄ³¼Ò¿ìµå(Cathode)
À½±ØÀ̶õ ¸». ÀüÀÚ°ü¿¡ ÀÖ¾î¼ ÀüÀÚ¸¦ ¹æÃâÄÉÇÏ´Â Àü±Ø.
¢ºÄ³½ºÄÉÀ̵ù(Çö»ó)
Àú¾Ð¼±ÀÇ °íÀå¿¡ ÀÇÇÏ¿© °ÇÀüÇÑ º¯¾Ð±âÀÇ ÀϺΠ¶Ç´Â ÀüºÎ°¡ Â÷´ÜµÇ´Â Çö»ó.
¢ºÄ³ÆÛ½ÃÅÍ(Capacitor)
Äܵ§¼¶õ ¸».
¢ºÄ³ÆÐ½ÃÅϽº(Capacitance)
¨ç Á¤Àü¿ë·®(ð¡ï³é»Õá) ¨è ¶§·Î´Â ¿ë·® ÀÓÇÇÀÌ´ø½ºÀÇ ¶æÀ¸·Î »ç¿ëµÈ´Ù.
¢ºÄ³³ëÇÇ(Canopy)
Á¶¸í±â±¸ÀÇ ÀϺκÐÀ¸·Î ¸Å´Ù´Â ÇüÀÇ °Í. õÀå¿¡ ¿À°í ÀÖ´Â ¼±°ú Äڵ弱°úÀÇ Á¢¼Ó¿¡ ¾²ÀÌ´Â °Í.
¢ºÄÉÀ̺í Çìµå(cable head)
ÄÉÀ̺íÁ¾´Ü»óÀÚ¶ó°íµµ Çϸç ÄÉÀ̺íÀÇ Á¾´ÜÀ» ´Ü½ÉÀÎ ¿Á³»¼± ¶Ç´Â °¡°ø¼±¿¡ Á¢¼ÓÇÒ ¶§ º¯Àü¼Ò ¶Ç´Â ¼ö¿ëÁöÁ¡ÀÇ ÀÔ»ó(í¡ß¾)ºÎºÐµî¿¡ »ç¿ëÇÏ´Â °Í.
¢ºÄڷγª(Corona)
¨ç ºÒÆòµîÀÚ°èÀÇ gapÀ¸·Î ¹æÀüÀÌ °³½ÃÇÒ ¶§ Àü±ØºÎ±ÙÀÇ °í¾ÐºÎ¿¡ ÀϾ´Â ±¹ºÎ¹æÀüÀ¸·Î Àü±ØºÎ±ÙÀÇ ¹ÚÃþÀ» ºñÄ¡´Â ±Û·Î¿ì¹æÀü°ú ±æ°Ô ´Ã·Á ºñÄ¡´Â ¸Á±¤(ØÓÎÃ)ÄڷγªÀÇ 2Á¾À¸·Î ´ëº°ÇÑ´Ù. ¨è ³ôÀº Àü¾ÐÀÌ °É·Á ÀÖ´Â µµÃ¼¿¡ ¹ßÇÏ´Â ¹Ì¾àÇÑ ±¤¸ÁÀº ±× ¸ð¾çÀÌ ¸¶Ä¡ žç½ÄÀÏ ¶§ º¼ ¼ö ÀÖ´Â ±¤¸·°ú °°À¸¹Ç·Î ÇØ¼ ÀϹÝÀûÀ¸·Î °ø±âÀÇ ºÎºÐÀû ÆÄ±« ¹× ±×¿¡ µû¸£´Â ¹ß±¤(Û¡ÎÃ) ¹× ¹ßÀ½Çö»ó(Û¡ëåúÞßÚ)À» ÄڷγªÇö»óÀ̶ó°í ÇÑ´Ù.
¢ºÄڷγª¹æÀü[ÄڷγªÛ¯ï³] (Corna discharge)
µµÃ¼¿¡ °íÀü¾ÐÀ» °¡ÇßÀ» ¶§ ÈÈ(ûýü£)¹æÀüÀ» ÇàÇϱâ Àü¿¡ ÀϾ´Â ¹æÀü
¢ºÄڷγª¼Õ[Äڷγªáß](Corona loss)
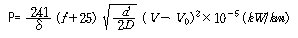
Corona ¹ß»ý ¶§¹®¿¡ ¿äÇÏ´Â µ¿·Â¼Õ½Ç·Î ¼Õ½ÇÀü·Â P(1Á¶ 1km´ç)Àº
¥ä´Â °ø±â¹ÐµµÀÇ °è¼ö, f´Â Á֯ļö, d´Â Àü¼±ÀÇ Á÷°æ(mm), D´Â ¼±°£°Å¸®(mm), V´Â Áß¼ºÁ¡¿¡ ´ëÇÑ Àü¾Ð(kV)
¢ºÄڷγªÀâÀ½[ÄڷγªíÚëå](Corona noise)
Corona ¹æÀü¿¡ ÀÇÇØ ¹ß»ýÇÏ´Â ÀüÆÄ¿¡ ÀÇÇØ ÀϾ´Â ÀâÀ½. ¼ÛÀü¼±¿¡ ÀÇÇÑ ÀâÀ½Àº Àü¼±¹Ý°æÀÇ 2½Â¿¡ ºñ·ÊÇϰí Áö»ó°í¿¡ ¿ªºñ·ÊÇÏ¿© Áõ°¡ÇÑ´Ù.
¢ºÄÚÀÏ(Coil)
¨ç ÀδöÅϽº¸¦ °®µµ·Ï ÇϱâÀ§ÇØ µµ¼±À» ÅëÇü ¶Ç´Â ³ª¼±»óÀ¸·Î °¨Àº °Í. ¼±·ûÀ̶õ ¸»À̸ç Áö¼ÓÀ» ³»±â À§ÇØ ¶Ç´Â ÀÚ¼ÓÀ» ¹Þ¾Æ ÀüÀÚÀ¯µµÀÛ¿ë¿¡ ÀÇÇØ Àü¾ÐÀ» ¹ß»ý½Ã۱â À§ÇÏ¿© ¼±À» °¨Àº °ÍÀ¸·Î ¸ñÀû¿¡ µû¶ó ±×´ë·Î °¨Àº °Í°ú ±ÇƲ¿¡ °¨Àº °Í, ö½É¿¡ °¨Àº °ÍÀ¸·Î ³ª´©¿öÁ® Á¾·ù´Â ¾ÆÁÖ ¸¹´Ù. ¨è µµ¼±À» °¨Àº °Í.
¢ºÄÜ´öÅϽº(Conductance)
¨ç ÀúÇ×ÀÇ ¿ª¼ö(æ½â¦), mho[?]. ¨è Àü·ù¸¦ À̲ô´Â ´É·ÂÀ» ¸»Çϸç Á÷·ùȸ·Î¿¡¼´Â ÀúÇ×ÀÇ ¿ª¼ö¿Í °°°í ±³·ùȸ·Î¿¡¼´Â ¾îµå¹ÌÅϽºÀÇ ½Ç·®ºÎ¿Í °°´Ù. ´ÜÀ§´Â ¿È(ohm)ÀÇ ¿ª¼öÀÎ ¸ð¿ì(mho)·Î ³ªÅ¸³»¸ç ±âÈ£´Â G ¶Ç´Â g¸¦ »ç¿ëÇÑ´Ù.
¢ºÄܵ§¼(Static; condenser)
¨ç ÀÀÃàÇÑ °Í. º¹¼ö±â(ÜÖâ©Ðï). ¨è Capacitor(electrostatic) Condenser-À¯Àüü¸¦ ³¢¿ì°í ¾ç¸é¿¡ ±Ý¼Ó°ü ¶Ç´Â ±Ý¼Ó¹Ú(ÐÝáÕÚØ)À» ³õÀº °ÍÀ¸·Î Á¤Àü¿ë·®À» °¡Áø ȸ·ÎºÎǰ.
ÃàÀü±â¶õ ¸»·Î¼ À¯µµÃ¼¿Í Àü±Ø°úÀÇ Á¶ÇÕ¿¡ ÀÇÇØ ÀüÇϸ¦ ÀúÀåÇÏ´Â ÀåÄ¡·Î Àü·Â¿ë Åë½Å¿ëÀ¸·Î ´ëº°µÇ¿© Á¾·ù´Â ¾ÆÁÖ ¸¹´Ù.
¢ºÄܼº£ÀÌÅÍ(Conservator)
À¯º¸Á¸±â¶ó°íµµ ÇÑ´Ù. º¯¾Ð±â»ó¿¡ ºÎÃÄ º¯¾Ð±â·ùÀÇ ¿È¸¦ ¹æÁöÇÏ´Â ÀåÄ¡.
¢ºÄÜÇüÈ®¼º±â[ÄÜúþüªá¢Ðï](Cone type loud speeker)
ÄÜÇü½ºÇÇÀÌÄ¿¶ó°íµµ ÇÑ´Ù. ÄÜÇü¿¡ Áøµ¿¸·ÀÌ ºÙ¾î ÀÖ´Â È®¼º±â.
¢ºÄí¿ï·ÒÀÇ ¹ýÄ¢[Äí¿ï·ÒÀÇ ÛööÎ](Coulomb's law)
2°³ÀÇ ¼Ò´ëÀüü°£¿¡ ÀÛ¿ëÇÏ´Â ÈûÀº Àü±â·®ÀÇ »ó½ÂÀû¿¡ ºñ·ÊÇÏ°í ±× °Å¸®ÀÇ 2½Â¿¡ ¿ªºñ·ÊÇÑ´Ù¶ó°í ÇÏ´Â ¹ýÄ¢À¸·Î ¶Ç Àڱ⿡¼µµ 2±Ø°£¿¡ ÀÛ¿ëÇϰí ÀÖ´Â ÈûÀº ÀÌ ¹ýÄ¢À¸·Î Ç®¸°´Ù.
¢ºÅ¥ºñŬ(Cubicle)
¼Ûȱ⠵îÀÇ ÀüÀÚ°ü(ï³íη) ÀåÄ¡¸¦ ³ÖÀº ±Ý¼ÓÇÔü³ª ±âŸÀÇ ÇÔü(ùÞô÷)
¢ºÅ°¸£È÷È£ÇÁÀÇ ¹ýÄ¢[۸£È÷È£ÇÁÀÇ ÛööÎ](Kirchhoff's law)
Á¦1¹ýÄ¢°ú Á¦2¹ýÄ¢ÀÇ 2°¡Áö°¡ ÀÖ´Ù. Á¦ 1¹ýÄ¢Àº µµ¼±¸ÁÁß ÀÓÀÇÀÇ ºÐ±âÁ¡¿¡ À¯ÀÔÇÏ´Â Àü·ù¿Í À¯ÃâÇÏ´Â Àü·ùÀÇ ´ë¼öÈ´Â ¿µÀÌ´Ù. Á¦2¹ýÄ¢Àº µµ¼±¸ÁÁß ¾î´À Æóȸ·Î¿¡ ´ëÇØ¼µµ ±× ȸ·ÎÁß¿¡ È帣´Â Àü·ù¿Í ±× ȸ·ÎÀÇ ÀúÇ×°ªÀÇ ÀûÀÇ ´ë¼öÈ´Â ±× ȸ·Î¸Á Áß¿¡ Æ÷ÇԵǾî ÀÖ´Â ¸ðµç ±âÀü·ÂÀÇ ´ë¼öÈ¿Í °°´Ù. ´Ü ȸ·ÎÁßÀ» È帣´Â Àü·ùÀÇ ¹æÇâÀº ÀÏÁ¤ÇÏ´Ù. ¿ª¹æÇâÀ¸·Î È帣´Â °ÍÀº ºÎÈ£¸¦ ºÎó Ãë±ÞÇÏ´Â °ÍÀ¸·Î ÇÑ´Ù.
|